

新闻动态
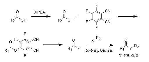
在有机合成中,羧酸的活化是构建复杂分子结构的通用且核心步骤之一,通过对羧基进行活化(如酰卤、活化酯等),可实现酯、酰胺等关键化学键的构建。
3,4,5,6-四氟邻苯二腈(简称TFPN,结构式见下图1)是一种近年来被重新发掘并赋予新功能的有机氟化物。其合成最早可追溯至20世纪60年代,由英国帝国熔炼公司的L. J. Belf及其同事在研究多氟芳烃卤素交换反应时首次报道[1];彼时TFPN仅被视为含氟芳香腈类中间体,用于制备酞菁染料或高分子功能材料前驱体。
2021年,孙浩然团队发现TFPN是从羧酸制备酰氟的有效试剂[2]。受此启发,杨进华/赵军锋团队将TFPN开发为一种新型的双功能缩合试剂;在碱性条件下经“一锅两步”反应原位生成酰氟中间体[3]。该中间体兼具反应性和稳定性:相较于酰氯,其结构更稳定、官能团兼容性更广,可有效抑制副反应;相较于酸酐,亲核反应活性更强,能在温和条件下与醇、胺高效完成酰化转化。同时,酰氟在碱性环境下稳定性优异,当底物含有α-H时不易发生烯醇化,可显著抑制缩合过程中羧酸α位手性中心的消旋副反应。

图1 TFPN结构式
杨进华/赵军锋团队探索了TFPN在酰胺/多肽合成以及酯/硫酯/大环内酯合成中的应用,与传统方法相比,TFPN具有以下优势[3-4]:
1. 安全稳定:储存和使用稳定性高,毒性低;
2. 高效温和:反应条件温和,短时间内即可高效完成;
3. 操作和成本效益:价廉易得,反应无需严格的无水无氧环境,操作简便;
4. 适用性广:不仅适用于常规酰胺、酯的合成,在多肽、大环内酯等复杂体系中也表现优异;
5. 立体选择性好:能有效避免酯键和酰胺键形成过程中的消旋问题,保证光学产物纯度。
TFPN介导的缩合反应,需要极性溶剂如DMSO作为反应介质,有机碱DIPEA参与下实现高效转化。
1. 高效合成酯、硫酯和大环内酯[4]
TFPN介导的酯化反应具有广泛的底物范围,适用于各种脂肪族和芳香族羧酸,且兼容带有多种官能团的复杂底物,醇、酚、硫醇等亲核试剂亦可以顺利参与反应。另外,酯化反应通常在室温下进行,收率普遍高于80%(图2)。

图2 TFPN介导的酯化反应
大环内酯的合成长期受限于环张力和分子间聚合副反应,而TFPN在此类反应中表现出色(图3),通过原位生成酰氟中间体,极大的提高了分子内关环效率,抑制分子间的副反应。

图3 TFPN介导的大环内酯合成
2. 无消旋的酰胺键构建[3]
酰胺键的构建,尤其是多肽合成中手性中心的保持,一直是有机合成领域的技术难点。TFPN凭借稳定的酰氟中间体和快速的缩合反应,可在1小时内以超80%的收率实现常规酰胺以及大位阻、易消旋的氨基酸的肽键构建,且几乎无消旋发生(图4)。

图4 TFPN介导的酰胺合成
研究指出,TFPN在固相合成中具有很大的应用前景,能以超80%收率高效合成五肽及以上长链多肽(图5)。这一发现为肽类药物和功能肽类材料的研发与合成提供了强有力的工具。

图5 TFPN用于固相合成
3. 复杂分子和前沿化学领域的应用潜力
TFPN介导的缩合反应具有广泛的官能团耐受性和温和的反应条件,使其在生物活性分子的后期功能化、生物偶联以及功能性聚合物的合成等领域展现出广阔的应用前景。
TFPN介导的缩合反应机理如下:首先,羧酸在碱作用下形成羧酸负离子,与TFPN反应形成活性芳基酯中间体,随后体系中的氟离子进攻活性酯中间体,生成酰氟中间体,最后亲核试剂(醇、胺)进攻酰氟,顺利生成目标酯类和酰胺产物(图6)。该过程实现了从“过度活化”到“适度活化”的转换,兼顾效率与选择性。

图6 TFPN作用机制
综上所述,TFPN介导的缩合反应,通过原位生成酰氟中间体,高效推动了酯、酰胺,以及具有挑战性的大环内酯、复杂多肽的合成,并在固相合成中展现出突出价值。不仅如此,该合成策略在药物分子衍生化、功能聚合物合成等领域展现了广阔的应用前景。随着相关研究的深入,TFPN未来会在有机合成领域扮演越来越重要的角色。
米兰(milan)电竞官网(股票代码:301393.SZ),成立于2003年,总部位于苏州市高新区,是一家为全球医药研发及生产企业提供特色原料的国家高新技术企业。产品主要应用于多肽、核苷酸和医药合成等领域,产品范围涵盖特色酰胺键构成用缩合剂、保护剂、链接剂、抗体偶联药物用蛋白质交联剂、分子砌块、脂质体、磷试剂等种类。目前已累计研发生产各类产品达1500多种。
经过二十余年的不懈努力和积累,米兰电竞在全球多肽合成试剂领域持续深耕,现已发展成为具有广泛定制产品覆盖能力和显著规模化生产优势的领先企业,可以满足各类客户的特定需求。我们诚挚邀请对该产品感兴趣的客户与我们联系,以便进一步了解产品详情,并探讨合作机会。
参考文献:
[1] Belf, L. J., Buxton, M. W.,Fuller, G., 612. Reactions of polyfluoroaryl bromides with cuprous salts in dimethylformamide. J. Chem. Soc., 1965, 3372. DOI: 10.1039/JR9650003372
[2] Mao, S.; Kramer, J. H.; Sun, H., Deoxyfluorination of carboxylic acids with KF and highly electron-deficient fluoroarenes. J. Org. Chem., 2021, 86, 6066. DOI: 10.1021/acs.joc.0c02491
[3] Yang, J.; Zhang, D.; Chang, Y.; Zhang, B.; Shen, P.; Han, C.; Zhao, J., TFPN-mediated racemization/epimerization-free amide and peptide bond formation. Org. Chem. Front., 2024, 11, 5422. DOI: 10.1039/d4qo01009d
[4] Zhang, D.; Shen, P.; Zhang, Y.; Zheng, Q.; Zhang, J.; Han, C.; Xu, S.; Yang, J., A TFPN-mediated acyl fluoride platform: efficient synthesis of esters, thioesters, and macrolactones from carboxylic acids with diverse nucleophiles. Org. Chem. Front., 2025, 12, 5414. DOI: 10.1039/d5qo00651a

